إن اسهامات رفيق الحريري الخيرية والإنمائية لا تحصى، وأبرزها المساعدات المتعددة الأوجه لستة وثلاثين ألف طالب جامعي في جامعات لبنان وخارجه
أنت هنا
ESTIMATION OF THE PULMONARY CAPILLARY VOLUME AND ENDOTHELIUM BARRIER FUNCTION USING THE MULTIPLE INDICATOR DILUTION METHOD
التبويبات الأساسية
Said H. AUDI
|
Univ. |
Marquette |
Spec. |
Biomedical Engineering |
Deg. |
Year |
#Pages |
|
Ph.D. |
1993 |
210 |
![]()
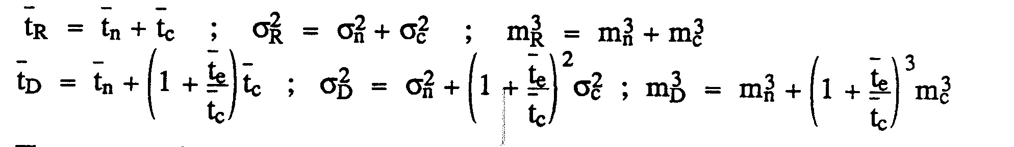
Let h(t) be the probability density function of transit times. The following equations relate the moments (mean transit time, t, variance, σ2 , and skewness, m3 ) of the capillary function, hc (t); of the extravascular function, he(t), and of the noncapillary function, hn(t) to the moments of the venous concentration versus time curves for a vascular reference indicator, CR(t), and a flow-limited diffusible indicator, CD(t), following a bolus injection of the indicators upstream from the lung:

The moments of hc (t) can be estimated if the injected bolus includes, along with the vascular reference indicator, at least two flow‑limited diffusible indicators each with a different tθ. A least squares optimization procedure can then be used to specify the moments of hc (t). This approach was applied to isolated dog lung lobes with [14C] diazepam as the diffusible indicator.
The tissue‑ to‑perfusate partition coefficient for [14C] diazepam could be adjusted to any desired value by altering the perfusate albumin concentration. Thus, by making two injections at different perfusate albumin concentrations, data were obtained in a manner equivalent to making one injection with two flow‑limited diffusible indicators each with a different tθ. The estimated capillary mean transit time(blood volume) was about 48% of the total lobar mean transit time (blood volume), and the relative dispersion of the hc (t) was about 75%. Using the estimated moments of the capillary transit time distribution, an optimization procedure for estimating the permeability‑surface area product(PS) for barrier‑limited indicators exchanged via linear uptake processes is suggested







